혹시 잘못된 부분이나 수정할 부분이 있다면 댓글로 알려주시면 감사하겠습니다.
미적분학에서 테일러 급수는 도함수들의 한 점에서의 값으로 계산된 항의 무한합으로 함수를 나타내는 방법이다.

테일러 급수는 어떠한 함수를 다항식으로 근사하는 방법을 제공한다. 단, 미분 가능한 함수여야 한다.
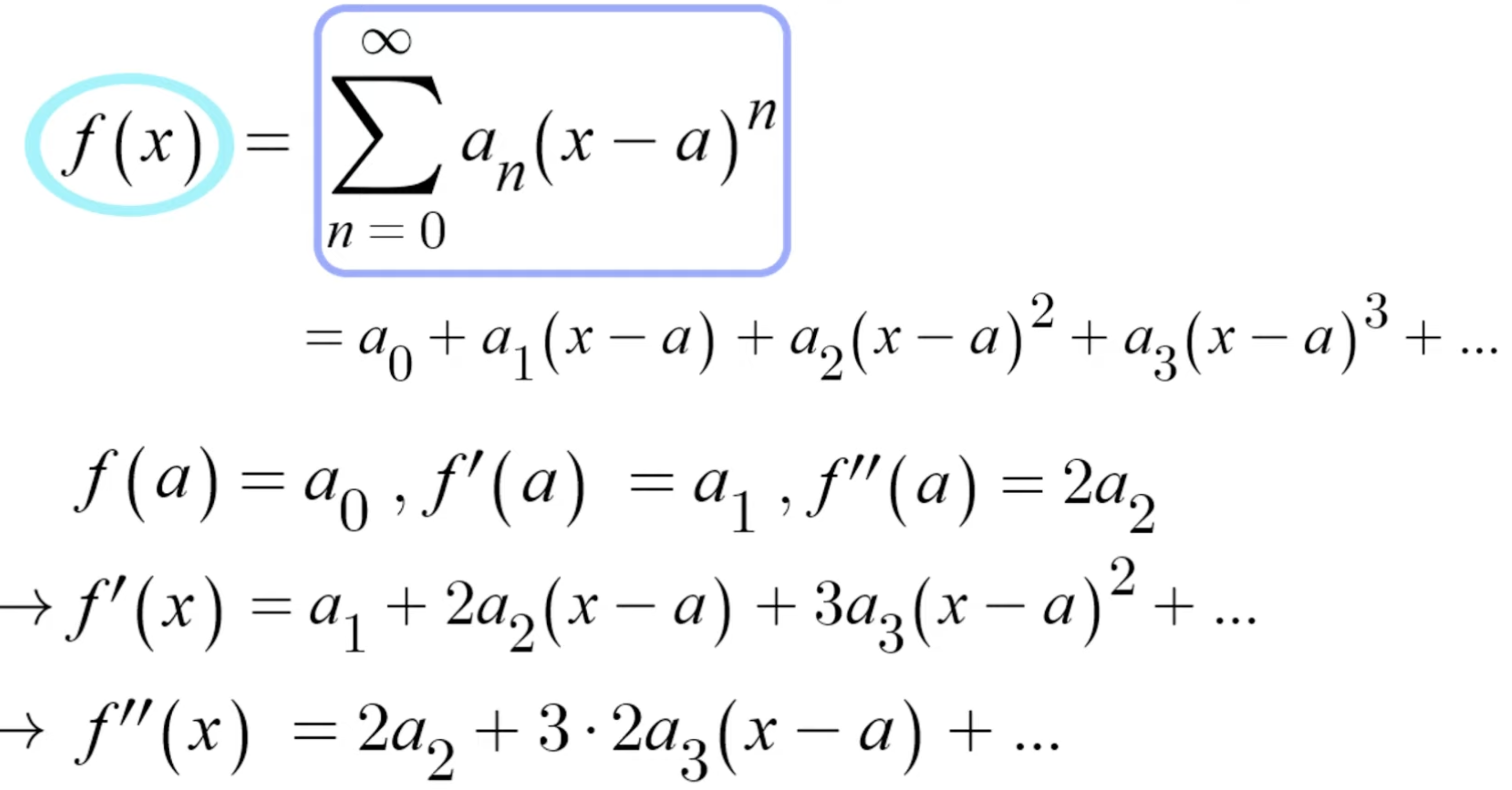
f(x)를 다음과 같이 멱급수 형태로 나타낼 수 있다. (증명은 생략..)

위 식을 통해 f(a)=a0, f'(a)=a1, f''(a)=2a2라는 것을 알 수 있다. 이를 통해 일반화를 시킬 수 있다.

위 식을 통해 여러 가지 함수를 1차 미분 값과 2차 미분 값을 간단하게 구할 수 있다.
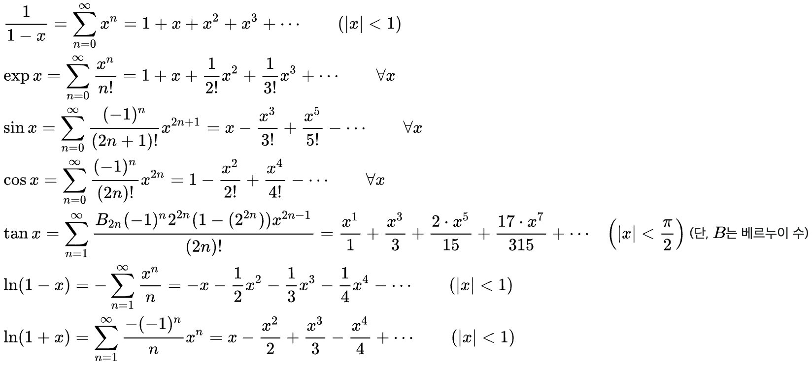
대표적인 테일러 급수의 예로는 다음과 같다.

'Deep Learning Study > Mathematics' 카테고리의 다른 글
| [미적분학] L1, L2 Regularization (1) | 2024.04.21 |
|---|---|
| [미적분학] Back Propagation (0) | 2024.03.02 |
| [미적분학] Optimization(GD, SGD) (2) | 2024.02.29 |
| [확률 및 통계학] Loss Function (0) | 2024.02.28 |
| [확률 및 통계학] Likelihood (1) | 2024.02.27 |